문제 1
적분 순서 바꾸기
'
풀이
x 의 범위가 0에서 2
y 의 범위가 0에서 2
x와 y의 적분 순서를 변경해도 전혀 문제 없다!
문제 2
적분 순서 바꾸기
풀이
e^(t^2) 의 적분값을 직접 구할 수는 없다.
중적분 안의 식에 y가 없음으로 적분 순서를 바꾸어 식을 전개한다.
전개한 식에서 x에 대해 미분하면 아래 식과 같다.
x=1을 대입하면 거슬렸던 적분 하나가 0이 되면서 답을 구할 수 있다.
문제 3
적분 순서 바꾸기
풀이
그렇다면 y와 x의 적분 순서를 바꾸어서 풀어보자!!!!!!!!
짜잔~ 적분 순서를 바꾸니 쉽게 답이 나왔다
문제 4
중적분 적분 범위 결정하기
풀이
처음 적분 식에서 x와 y의 범위 를 각각 구할 수 있다.
y는 x보다 큼으로 0 보다 크다.
y 적분 범위에서 x는 y보다 작은 부분을 적분함으로 x의 범위는 y보다 작다.
x와 y의 범위를 새롭게 정하고 적분하면 아래와 같은 풀이가 나온다.
문제 5
중적분 적분 범위 결정하기
풀이
처음 적분 식에서 x와 y의 범위 를 각각 구할 수 있다.
y는 x보다 큼으로 0 보다 크다.
y 적분 범위에서 x는 y보다 작은 부분을 적분함으로 x의 범위는 y보다 작다.
x와 y의 범위를 새롭게 정하고 적분하면 아래와 같은 풀이가 나온다.
새로운 구간의 적분 식에서 마지막으로 적분하는 부분은 상수로만 구성되어야 한다.
새로운 구간의 적분 식에서 마지막으로 적분하는 부분은 상수로만 구성되어야 한다.
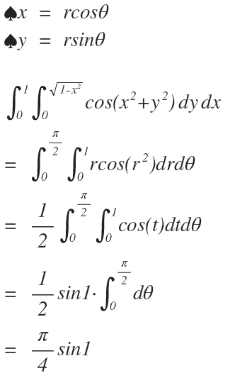
문제 6
극좌표계로 변환
풀이
적분하고자 하는 구간이 1사분면에 위치한 부분의 원의 일부라는 것을 알 수 있다.
![]() |
| 반지름 길이 1의 원이다. 1사분면의 구간이 적분 범위이다. |
극좌표계로 치환하여 적분값을 구할 수 있다.
문제 8
중적분 범위가 역역 D일 때
x의 범위가 [-1,1]
y의 범위가 [-1,1]
이라고 할 때 범위 D에 대하여 함수 f(x,y)를 적분해라!
풀이
문제 9
중적분 범위가 그림일 때
x의 범위가 0에서 2 이고 y는 x보다 크다. 따라서 x와 y는 모두 1사분면에 위치한다.
y는 x보다 큼으로 y=x 위의 범위이다. 반경 2root2 내부의 원 내부이이기도 하다.
위 조건들을 모두 만족하는 적분 구간은 아래 그림과 같다.
극좌표계로 나타내면
y는 x보다 큼으로 y=x 위의 범위이다. 반경 2root2 내부의 원 내부이이기도 하다.
위 조건들을 모두 만족하는 적분 구간은 아래 그림과 같다.
풀이
문제 10
중적분 범위가 그림일 때
영역 T는 (0,0) (1,0) (1,1)을 잇는 아래 그림의 범위와 같다.
풀이
극좌표계로 나타내면
x=rcos(theta)
y=rsin(theta)
r이 최대일 때 즉 특정 각(theta)에 대해 원점으로부터 가장 멀리 있을 때는
x=1 일 때 이다.
따라서 r의 최댓값은
r(max) = 1/cos(theta)
영역 T의 각 경계가 x축과 y=x임으로 각의 범위는 0에서 45도 이다.
극좌표계로의 변환은 아래 수식과 같다.
1+r^2 을 t로 치환



























2 comments:
적분 순서를 바꾸고 적분 범위를 새로 결정할 때 일정한 규칙이 존재하나요?
x범위는 작은 값은 그대로, 큰 값이 변경되고 , y범위는 작은 값이 변경되고 큰 값이 변경되는 거로 보여주신 예제와
제 교재의 예제도 그러한 규칙을 보이고 있어서 여쭤보게 되었습니다.
xy를 매개변수로 한 중적분 과정에서 x와 y의 변경되는 값이 궁금하셨군요! x와 y의 전체 범위로 이루어진 부분을 영역 T 라고 생각해보세요. 일종의 박스처럼요
Post a Comment